
« Effects of replicating primary-reflex movements on specific reading difficulties in children: a randomised, double-blind, controlled trial » /
« Effets de la reproduction des mouvements réflexes primaires sur les difficultés spécifiques de lecture chez l’enfant : un essai contrôlé randomisé en double aveugle ».
The Lancet,Volume 355, Issue 9203 P537-541- 12 Février 2000
M McPhillips, BSc, Prof PG Hepper, PhD G Mulhern, PhD
Une équipe de chercheurs de l’Université Queen’s de Belfast — M. McPhillips, BSc (m.mcphillips@qub.ac.uk), Prof. P.G. Hepper, PhD et Dr. G. Mulhern, PhD — a mis en lumière une association intéressante entre la persistance des réflexes archaïques et les difficultés d’apprentissage, notamment chez les enfants souffrant de dyslexie.
Étude interventionnelle publiée dans The Lancet (revue médicale de référence).
L’étude s’est concentrée sur le réflexe tonique asymétrique du cou (RTAC), un réflexe moteur primitif présent chez le nourrisson. Les chercheurs ont observé que ce réflexe, censé disparaître au cours du développement moteur normal, restait actif chez un nombre significatif d’enfants en difficulté scolaire.
Cette étude évalue l’impact d’un RTAC encore actif donc immature sur les difficultés de lecture.
Elle évalue aussi l’impact d’un programme spécifique d’exercices moteurs sur les capacités de lecture et l’intégration neurologique chez des enfants ayant un RTAC persistant et un mauvais niveau de lecture.
L’étude examine si la persistance du réflexe tonique asymétrique du cou (RTAC), un réflexe primitif du nourrisson, peut gêner l’apprentissage de la lecture chez l’enfant. Les auteurs ont testé un protocole d’exercices moteurs conçu pour aider à « intégrer » ce réflexe.
Etude avec essai contrôlé randomisé et en double aveugle.
60 enfants âgés de 8 à 11 ans fréquentant une école primaire ordinaire et ayant des difficultés de lecture avec un QI moyen et un RTAC encore persistant (immatures).
Ils ont été répartis en trois groupes :
• 🟢 Groupe expérimental : a suivi un programme spécifique de mouvements imitant les réflexes primitifs.
• 🟠 Groupe placebo : a réalisé des mouvements sans lien avec les réflexes.
• 🔴 Groupe témoin : n’a rien pratiqué.
Les chercheurs ont évalué leur niveau de lecture et la persistance du réflexe RTAC avant et après 12 mois.
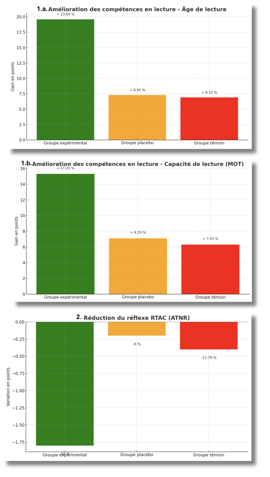
✅ 1. Amélioration des compétences en lecture
Le groupe expérimental a montré une nette amélioration des compétences de lecture:
1.a. En âge de lecture (significatif uniquement pour le groupe expérimental – P<0,001)
• 🟢 Groupe expérimental : + 19,6 pts + 23,64 %
• 🟠 Groupe placebo : + 7,3 pts + 8,95 %
• 🔴 Groupe témoin : + 6,9 pts + 8,33 %
2.a. En capacité de lecture (MOT – P<0,001)
• 🟢 Groupe expérimental : + 15,3 pts + 17,25 %
• 🟠 Groupe placebo : + 7,1 pts + 8,19 %
• 🔴 Groupe témoin : + 6,3 pts + 7,03 %
✅ 2. Réduction du réflexe RTAC
La diminution du réflexe ATNR a été significative uniquement dans le groupe expérimental (P<0,001) :
• 🟢 Groupe expérimental : – 1,8 pas – 58 %
• 🟠 Groupe placebo : – 0,2 pts – 6 %
• 🔴 Groupe témoin : – 0,4 pts – 13,79 %
Cette étude suggère que certains troubles d’apprentissage ne sont pas uniquement cognitifs mais aussi neuro-moteurs. Travailler sur l’intégration des réflexes primitifs pourrait donc compléter efficacement les approches pédagogiques classiques.
La méthodologie Arc-en-flex® est une approche qui s’est inspirée des formations réflexes telles que RMT, MNRI, INPP en combinant avec plusieurs autres approches issues de l’ostéopathie, du monde de la posturologie, la danse, le yoga…afin d’avoir une approche complète et structurée de la matière réflexes.
Chez Arc-en-Flex®, nous accompagnons bébés, enfants et adultes présentant des signes de réflexes persistants afin d’améliorer la vie des personnes rencontrant des troubles posturaux, émotionnels et cognitifs.
Retrouver toutes les infos sur la formation Arc-en-flex®
Trouvez un(e) praticien(ne) réflexes dans votre région sur l’annuaire Arc-en-flex®
Ostéopathe D.O. et Formatrice en réflexes archaïques- Fondatrice et créatrice de la Méthodologie avec Arc-en-flex®
Praticienne certifiée Arc-en-flex®
Cet article est une vulgarisation pédagogique d’une étude scientifique. Pour une compréhension complète ou une lecture détaillée, vous pouvez consulter l’étude originale via le lien fourni. L’objectif ici est de rendre ces connaissances accessibles à tous.
Leave A Comment